News | January 17, 2025

New Yorker Magazine Exhibition at The New York Public Library

The New York Public Library

Prospectus for The New Yorker, 1924

A Century of The New Yorker will showcase the history of The New Yorker from its launch in 1925 to the present day and feature founding documents, rare manuscripts, photographs, and cover and cartoon art drawn from the Library’s holdings.

The exhibition - opening February 22 and running through February 21, 2026 - will highlight the role of well-known creators such as E.B. White and Vladimir Nabokov as well as underrepresented and unsung contributors including artists, copyeditors, typists, and fact checkers.

Going on display will be Dorothy Parker’s manuscript list of Unattractive Authors Whose Work I Admire, a memo from Katharine White to Harold Ross about discontent among administrative staff in 1944, and Vladimir Nabokov’s copy of 55 Short Stories from The New Yorker (1949) with his handwritten grades for each story, as well as typewriters used by Lillian Ross and William Shawn.

Saul Steinberg, cover artist, The New Yorker, March 29, 1976
1/4
© The Saul Steinberg Foundation/Artists Rights Society (ARS), The New Yorker magazine, courtesy The New York Public Library

Saul Steinberg, cover artist, The New Yorker, March 29, 1976

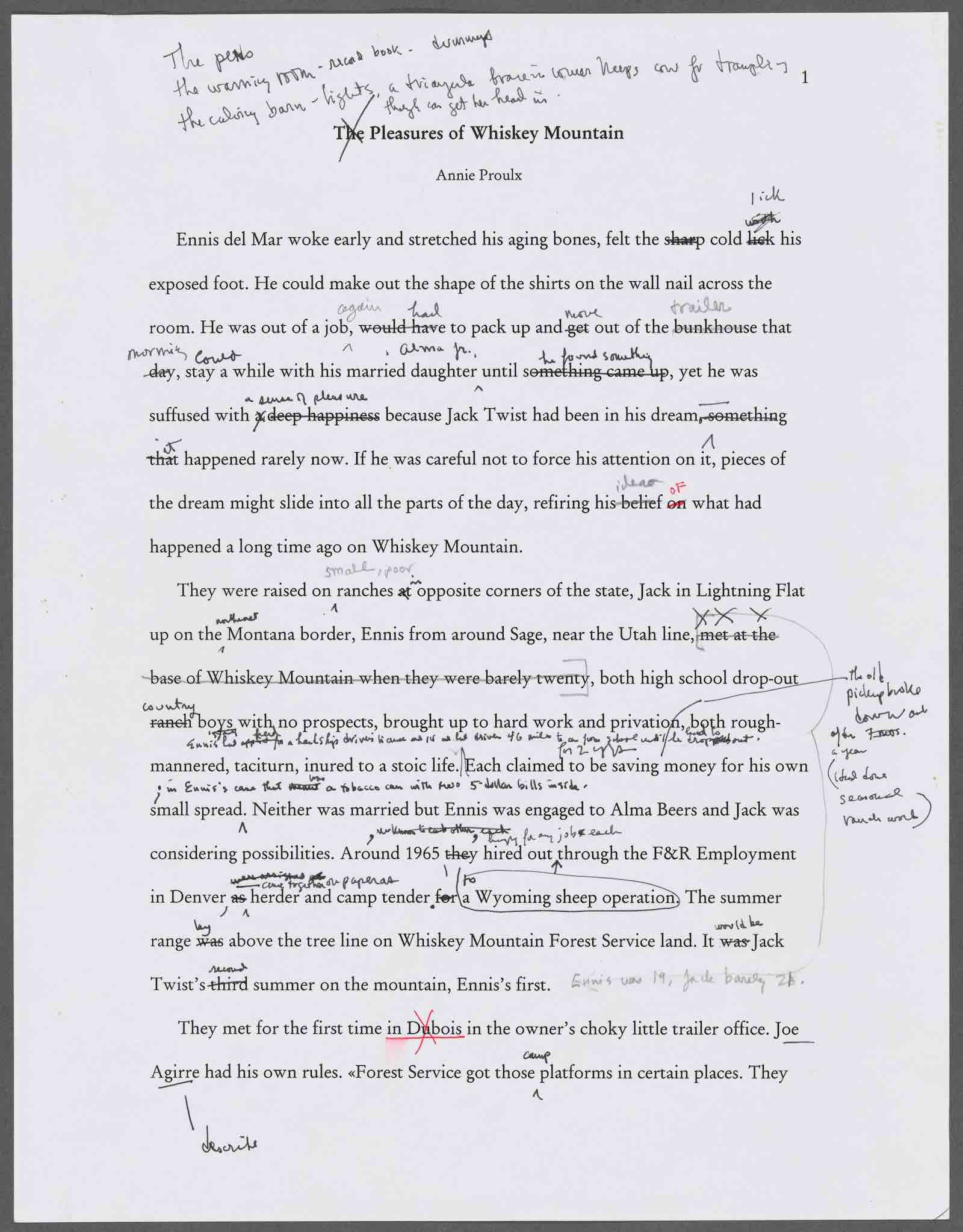
Annie Proulx's early draft of Brokeback Mountain which was published in The New Yorker
2/4
© Annie Proulx, courtesy The New York Public Library

Annie Proulx's early draft of Brokeback Mountain which was published in The New Yorker

Olympia SG1 typewriters owned by Lillian Ross and William Shawn
3/4
The New York Public Library

Olympia SG1 typewriters owned by Lillian Ross and William Shawn

Helen Hokinson's iriginal artwork for I Want to Report a Winking Man, ca. 1946
4/4
Helen E. Hokinson / The New Yorker Collection, courtesy The New York Public Library

Helen Hokinson's iriginal artwork for I Want to Report a Winking Man, ca. 1946

Other highlights include:

  • the 1924 prospectus for The New Yorker
  • original artwork for the first issue by Rea Irvin
  • W.H. Auden’s 1939 handwritten draft of Refugee Blues
  • John Updike’s 1940s handwritten assignments for Talk of the Town
  • original signed art by Helen Hokinson from 1941
  • The New Yorker type identification and style guide (1981)
  • the typescript draft of In Cold Blood by Truman Capote, with revisions and deletions by William Shawn
  • Hannah Arendt’s original 1963 typescript manuscript of Eichmann in Jerusalem

“In ways we see and don’t see, The New Yorker has shaped so many aspects of American culture, politics, and intellectual life over the past century,” said Julie Golia, Associate Director, Manuscripts, Archives, and Rare Books and Charles J. Liebman Curator of Manuscripts, the co-curator of the exhibition. “A Century of The New Yorker invites the Library’s visitors into the pages of the magazine, revealing the fascinating history of the country’s most important magazine through our rich collections.”